Skip to main content
Language
English
Myanmar
Home
MoFR Departments
မြန်မာ့စီးပွားရေးဘဏ်
မြန်မာ့နိုင်ငံခြားကုန်သွယ်မှုဘဏ်
မြန်မာ့ရင်းနှီးမြှုပ်နှံမှုနှင့် ကူးသန်းရောင်းဝယ်ရေးဘဏ်
မြန်မာ့လယ်ယာဖွံ့ဖြိုးရေးဘဏ်
မြန်မာ့အာမခံလုပ်ငန်း
ရသုံးမှန်းခြေ ငွေစာရင်းဦးစီးဌာန
ငွေတိုက်ဦးစီးဌာန
ပြည်တွင်းအခွန်များဦးစီးဌာန
အကောက်ခွန်ဦးစီးဌာန
ငွေရေးကြေးရေး ကြီးကြပ်စစ်ဆေးရေး ဦးစီးဌာန
ပင်စင်ဦးစီးဌာန
ငွေချေးသက်သေခံလက်မှတ်လုပ်ငန်း ကြီးကြပ်ရေးကော်မရှင်ရုံး
News & Announcements
Gallery
Photo Gallery
Video Gallery
Contact Us
Search
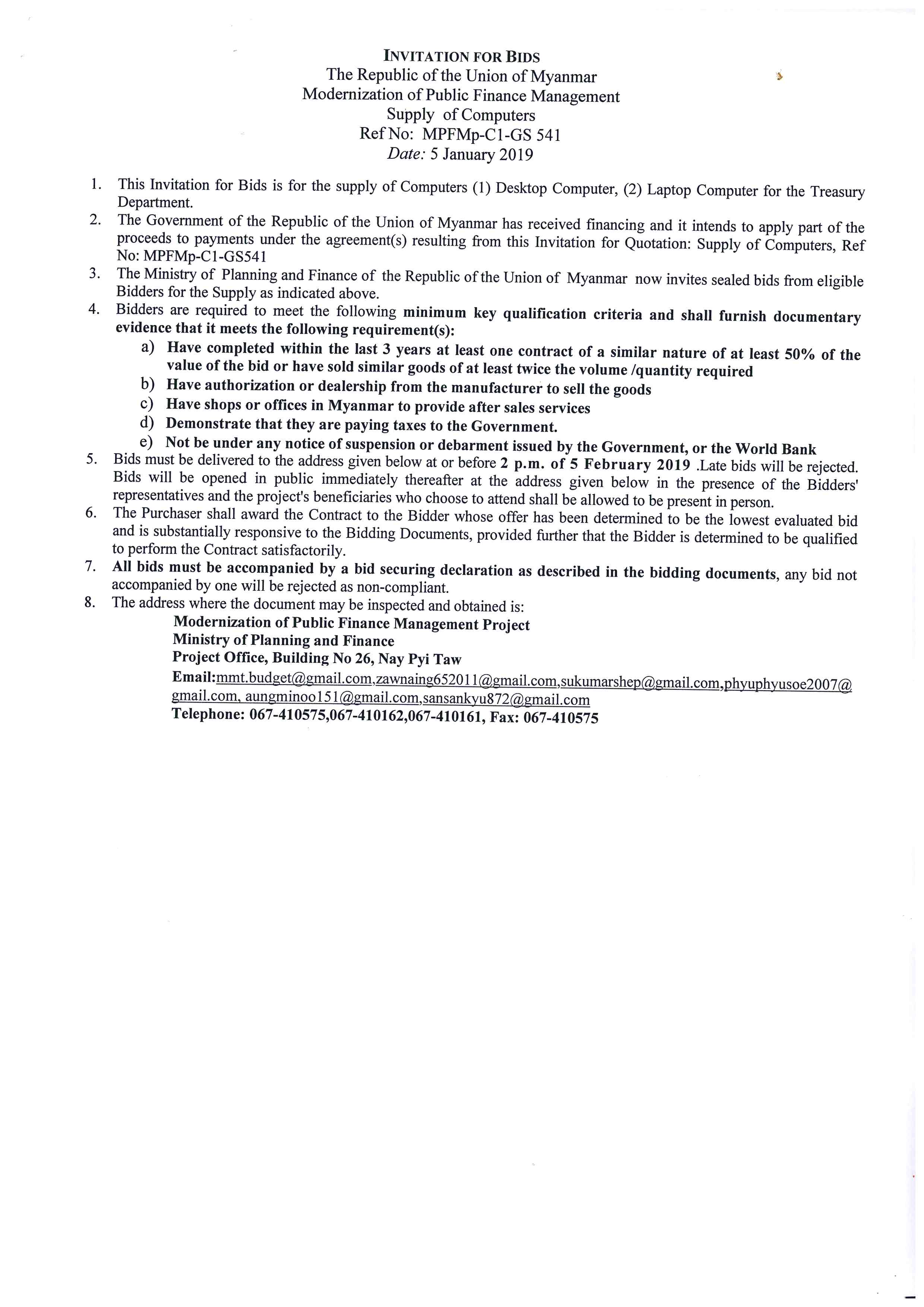
ငွေတိုက်ဦးစီးဌာန Computer ဝယ်ယူခြင်းအတွက် တင်ဒါခေါ်ယူခြင်း
td_editor
Thu, 01/03/2019 - 16:59
Related News
The 2nd ASEAN Treasury Forum Meeting သို့ တက်ရောက်ခြင်း
၇ ကြိမ်မြောက် အက်ခ်မက်ဘဏ္ဍာရေးဆိုင်ရာ အဆင့်မြင့်အရာရှိကြီးများ အစည်းအဝေးအား ကျင်းပခြင်း
ငွေတိုက်ဦးစီးဌာနတွင် လစ်လပ်လျက်ရှိသော စိစစ်ရေးမှူး-၂ ရာထူး (၂၀)နေရာအတွက် လျှောက်လွှာခေါ်ယူခြင်း
စာရင်းကိုင်-၄ ရာထူး ရေးဖြေနှင့် ကွန်ပျူတာစာမေးပွဲဖြေဆိုရန် အကြောင်းကြားခြင်းကိစ္စ
စာရင်းကိုင်-၄ ရာထူး (၅)နေရာအတွက် လျှောက်လွှာခေါ်ယူခြင်းကိစ္စ
ငွေတိုက်ဦးစီးဌာန၏ ညွှန်ကြားရေးမှူးချုပ်မှ ဝန်ထမ်းများနှင့်တွေ့ဆုံခြင်း
စီမံကိန်းနှင့်ဘဏ္ဍာရေးဝန်ကြီးဌာန၊ ငွေတိုက်ဦးစီးဌာန ဌာနတွင်းအရာထမ်းများမွမ်းမံသင်တန်း အမှတ်စဉ်(၂) သင်တန်းဖွင့်ပွဲအခမ်းအနားသို့ စီမံကိန်းနှင့်ဘဏ္ဍာရေးဝန်ကြီးဌာန၊ ဒုတိယဝန်ကြီးတက်ရောက်လမ်းညွှန်မှာကြား
၂၀၂၄ ခုနှစ်၊ မက်ခရိုစီးပွားရေးဆိုင်ရာ သုတေသနလုပ်ငန်းခွင်သင်တန်း တက်ရောက်ခဲ့မှုမှ လေ့လာသိရှိခဲ့မှုများအား ပြန်လည်မျှဝေခြင်း
“Public Expenditure Management” သင်တန်းသို့ တက်ရောက်ခဲ့သည့် ဗဟုသုတ၊ အတွေ့အကြုံများအား မျှဝေခြင်း
နိုင်ငံ့ဝန်ထမ်းတက္ကသိုလ်(အထက်မြန်မာပြည်)တွင် အရာထမ်းသင်တန်းအမှတ်စဉ် (၆၅) သို့ တက်ရောက်ခဲ့ခြင်းမှရရှိခဲ့သည့် ဗဟုသုတများအား မျှဝေခြင်း
Pagination
Current page
1
Page
2
Page
3
…
Next page
››
Last page
Last »
Monthly Archive
August 2025
(3)
July 2025
(7)
June 2025
(27)
May 2025
(5)
April 2025
(8)
March 2025
(19)
February 2025
(12)
January 2025
(8)
December 2024
(7)
November 2024
(11)
Pagination
Current page
1
Page
2
Page
3
…
Next page
Next ›
Last page
Last »
ရသုံးမှန်းခြေ ငွေစာရင်းဦးစီးဌာန
အကောက်ခွန်ဦးစီးဌာန
ငွေရေးကြေးရေး ကြီးကြပ်စစ်ဆေးရေး ဦးစီးဌာန
ပြည်တွင်းအခွန်များဦးစီးဌာန
မြန်မာ့လယ်ယာဖွံ့ဖြိုးရေးဘဏ်
မြန်မာ့စီးပွားရေးဘဏ်
မြန်မာ့နိုင်ငံခြားကုန်သွယ်မှုဘဏ်
မြန်မာ့အာမခံလုပ်ငန်း
မြန်မာ့ရင်းနှီးမြှုပ်နှံမှုနှင့် ကူးသန်းရောင်းဝယ်ရေးဘဏ်
ပင်စင်ဦးစီးဌာန
ငွေချေးသက်သေခံလက်မှတ်လုပ်ငန်း ကြီးကြပ်ရေးကော်မရှင်ရုံး
ငွေတိုက်ဦးစီးဌာန
© 2025 Ministry of Finance and Revenue. All rights reserved.